Latex

Latex

  • 参考文献「Latex2ε美文書作成入門」(奥村晴彦/黒木祐介 著)
  • サンプル(Latex)

目次

基本

  • 通常のLatexでは開始終了に「\」を利用する
  • Jupyter上のLatexは「$$」や「$」を利用する。機能は限定的。
  • 以降の説明は「Jupyter lab」で使うことができる記法をまとめている
  • そのため、通常のLatexでは使えるがJupyterで使えないものも多数ある
  • 空白は無視される
  • Jupyterの場合、Latexに変換されない時があるが何度かEnter押すと変わったりする
  • Enter1回の改行は無視される
  • Enter2回だと空行(段落ができる。が次の行の先頭に1文字の字下げが入る?)
  • LatexとMarkdownは混在不可のはず
<JupyterにおけるLatex>

別行仕立て
$$
    y = ax + b
$$

インライン
$ y = ax + b $

書体(P48)

  • ゴシック:\textgt{Gothic} は不可
$ \textrm{Roman} % デフォルト $

$ \textbf{Boldface} % 太字 $

$ \textit{Italic} % 斜め $

$ \textsf{Sans Serif} % 見出し(SansSerif) $

$ \texttt{Typewriter} % 例 $

文字サイズ(P49)

  • {\small␣見本Sample} のように命令の後に半角空白を入れ、適用範囲を波括弧で囲む
$ {\tiny 1.見本 Sample}$ % 5ポイント

$ {\scriptsize 2.見本 Sample}$ % 7ポイント

$ {\small 3.見本Sample}$ % 9ポイント

$ {\normalsize 4.見本 Sample}$ % 10ポイント(デフォルト)

$ {\large 5.見本 Sample}$ % 12ポイント

$ {\Large 6.見本 Sample}$ % 14.4ポイント

$ {\huge 7.見本 Sample}$ % 20.74ポイント

$ {\Huge 8.見本 Sample}$ % 24.88ポイント

コメント %

  • %以降は文字は無視される
$ % これはコメントです。見えない。 \
Deep%この文字は無視されて次の行がふっつく
Learning$

空白の扱い

  • 半角空白を出力するには「\」または「~(チルダ)」を利用する
  • Jupyterでは数式以外の空白は結合されるっぽい(全角空白は反応する)
  • 行頭、行末の空白はいくつあっても無視される
$ y = ax + b $

$ Fill_in the (       )'s. $

$ Fill~in~the~(~~~~~~~)'s. $

下線(P59)

$
\underline{underline}
$

文字の囲み(P59)

$
\fbox{ABC}
$

数式

数式の書き方(P79)

  • 約物(句読点や括弧類)以外の文字と数式の間には、半角の空白を入れる
1:(全角本文)解は␣$x=1$,$2$␣である
2:(半角本文)解は␣$x=1$,␣$2$␣である
3:(半角数式)解は␣$x=1,2$␣である
  • 座標や集合の要素を区切る
$(x, y)$
$(0, 1)$
$\{0,1\}$

上付き・下付き(P82)

$2^{2^{2^2}}$ \
$a^{k_{ij}}$ \
$C_2$

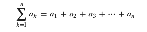
和・積分(P84)

  • インラインだと上限下限の表示のされ方が違う
$
\sum_{k=1}^n a_k = a_1 + a_2 + a_3 + \cdots + a_n 
$
  • 別行仕立てだとこうなる
$$
\sum_{k=1}^n a_k = a_1 + a_2 + a_3 + \cdots + a_n 
$$
  • インラインでも別行仕立てのような表記にするには\displaystyleを使う
$
\displaystyle \sum_{k=1}^n a_k = a_1 + a_2 + a_3 + \cdots + a_n
$

分数(p85)

  • 分数(fraction)は、\frac{分子}{分母}
別行仕立て
$$
y = \frac{1+x}{1-x}
$$
インライン
$
y = \frac{1+x}{1-x}
$
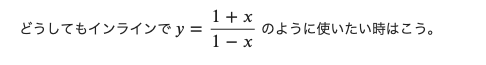
どうしてもインラインで
$
\displaystyle y = \frac{1+x}{1-x}
$
のように使いたい時はこう。

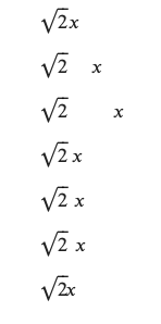
字間、高さ(p85)

横幅

\quad  : 設定ポイントと同じアキを入れる
\qquad : \quadの2倍
\,     : \quadの3/18ほど
\>     : \quadの4/18ほど
\;     : \quadの5/18ほど
\!     : \quadの-3/18ほど(狭める)
$\sqrt{2}x$         ←標準

$\sqrt{2}\quad x$  ←\quad(10ポイント設定であれば10Pのアキを入れる)

$\sqrt{2}\qquad x$ ←\quadの2倍

$\sqrt{2}\, x$    ←\quadの3/18ほど

$\sqrt{2}\> x$     ←\quadの4/18ほど

$\sqrt{2}\; x$     ←\quadの5/18ほど

$\sqrt{2}\! x$     ←\quadの-3/18ほど

高さ(P86)

  • \mathstrut (strut:支柱)を使う(フォントによっては不揃いになるためP112参照)
  • これだと高さが不揃い
$\sqrt{g} + \sqrt{h}$

$\sqrt{\mathstrut g} + \sqrt{\mathstrut h}$

括弧類(P88)

  • 丸括弧:( ) または \lparen、\rparen
  • 波括弧:{ } または \lbrace、\rbrace
$(x)$, $[x]$

$\{ x \}$

バックスラッシュ:$\backslash$

括弧サイズの調整

  • ふつう \big < \Big < \bigg < \biggm < \Biggm 大きい
  • 左かっこを意味する「l(」、右かっこの「r)」を上記文字の後に添える
  • 「\bigl(」 や「\bigr)」など
$ (x - f(x))/(x + f(x)) $  % ←標準

$ \bigl( x - f(x) \bigr) \big/ \big( x + f(x) \bigr) $

$ ( \bigl( \Bigl( \biggl( \Bigg( $
  • \left、\rightを使え自動で最適なサイズがセットされる
  • かならずペアで使う
$\left( x \right)$

$(x^2)$ % ←標準

$\left( x^2 \right)$

ギリシャ文字

  • 小文字
  • 英語の先頭に「\」を付けるだけ
  • o(omicron)だけは英語のoと同じなため不要

例)\alpha

  • 大文字は、以下の11通り以外は英語のアルファベットの大文字と同じ

2項演算子・関係演算子(P91)

矢印(P94)

雑記号(P95)

大きな記号(P96)

log型関数とmod(P96)

$\lim_{x \to \infty} f(x)$

$
\displaystyle \lim_{x \to \infty} f(x)
$

上下に付けるもの(P97)

ルビ

  • 上ルビは不可(不明)
  • 下ルビは以下
$
\underset{シータ\theta}{\theta}
$

いろんな記号(P110)

点々

$a_1, a_2, \dots, a_n$

$a_1 + a_2 + \dots + a_n$

$a_1, \dotsc$

$a_1 +  \dotsb$ (上と微妙に違う)

自由に伸びる矢印(P111)

$\overrightarrow{A}$

$\overleftarrow{A}$

$$
\text{A} \xrightarrow{\text{伸びます}} \text{B}
$$

$$
\text{A} \xrightarrow [\text{下にも書けます}] {\text{伸びます}} \text{B}
$$

行列(P113)

  • 行列の列の区切りは、&
  • 行の区切りは、\\
(1)
\begin{matrix} a & b \\ c & d \end{matrix}

(2)
\begin{pmatrix}  a & b \\ c & d \end{pmatrix}

(3)NG
\begin{equation}
A = \begin{pmatrix}
    a_{11} & \dots & a_{1n} \\
    \hdotsfor{3} \\
    a_{m1} & \dots & a_{mn}
    \end{pmatrix}
\end{equation}  

数式番号(P118)

  • JNではequation環境は使えない
\begin{equation}
    E = mc^2 \tag{$A$}
\end{equation}

\begin{equation}
    E = mc^2 \tag*{括弧を付けない場合}
\end{equation}